Conditional Question

Hey there!

As I have been working on my game, I have noticed that when doing if statements, scripts DO NOT like using multiple conditions using “or”

This statement works:

local pet1 = "FoxPet"
local pet2 = "DeerPet"
local pet3 = "WaterDragonPet"

Pet = --a variable that comes from another source, specifically, the FoxPet

if Pet ~= pet1 then
    --do some stuff 
else
    --do some other stuff --it will perform this code
end

but this doesn’t when it is like this…

local pet1 = "FoxPet"
local pet2 = "DeerPet"
local pet3 = "WaterDragonPet"

Pet = --a variable that comes from another source, specifically, the FoxPet

if Pet ~= pet1 or Pet ~= pet2 or Pet ~= pet3 then
    --do some stuff --it will perform this code
else
    --do some other stuff 
end

Does anyone know why this happens??? I am pretty sure I am doing it correctly… Please correct me, if I am wrong!

Try this maybe:

local pet1 = "FoxPet"
local pet2 = "DeerPet"
local pet3 = "WaterDragonPet"

Pet = --a variable that comes from another source, specifically, the FoxPet

if (Pet ~= pet1) or (Pet ~= pet2) or (Pet ~= pet3) then
    --do some stuff --it will perform this code
else
    --do some other stuff 
end
3 Likes

This is something I find very irritating with lua / luau, because it doesn’t happen in other programming languages I’ve used.

1 Like

If you’re trying to make sure “Pet” isn’t equal to “pet1” “pet2” and “pet3” you should use “and” not “or”, currently the part with --do some stuff --it will perform this code is ran regardless of what the value is since if it’s the same as “pet1” it wouldn’t be the same as “pet2”, etc, therefore the condition would be true.

If that’s the case, try this:

local pet1 = "FoxPet"
local pet2 = "DeerPet"
local pet3 = "WaterDragonPet"

Pet = --a variable that comes from another source, specifically, the FoxPet

if Pet ~= pet1 and Pet ~= pet2 and Pet ~= pet3 then
    --do some stuff --it will perform this code
else
    --do some other stuff 
end

I don’t see the reason why you’d want to use “or” in general for this, as the first condition would always return true. It seems that you’re misunderstanding the way “or” works in this scenario. Grouping together conditions with “or” results in each condition being checked individually in order of them being written.

The only way the “else” part would run is if the “Pet” variable is equal to 3 other variables at the same time, which is impossible if the values differ.

In other words;

if Pet ~= pet1 or Pet ~= pet2 or Pet ~= pet3 then
would be the same as:
if false or true or true then
or
if true or false or true then
or
if true or true or false then

Which in any case would be true, since “or” only requires one of the conditions to be true to pass. Even if the value of “Pet” was utter nonsense it’d still return true as such:
if true or true or true then

If you want to make sure “Pet” doesn’t equal any of the 3, you have to use “and” as described above.


The “or” keyword checks if any of the conditions are true, and will continue if so. The “and” keyword makes sure all of the conditions are true, else it’ll not continue and jump to the else or skip the code entirely if none is present.

2 Likes

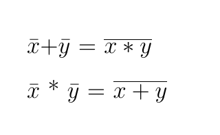
This is part of DeMorgan’s Boolean law, and I’d just like to compound on the above post with the equations and some cool visual representations behind this law, as its VERY useful in countless fields of math

image
This is basically what DeMorgans law states
To explain the weird formatting, a line above something means “NOT”
“+” means OR
“*” means AND
This is the typical formatting for AOI (And Or Inverse) logic

So what this is basically saying, in Lua format, is:

(not x) or (not y) == not(x and y)
(not x) and (not y) == not(x or y)

Let me show this visually, in terms of a Venn Diagram


You can see how (not x) OR (not y) would not be good for your situation, because the only case in which its false is when its not (x and y)

2 Likes

Yeah that’s what I was trying to say, but you’ve done a much better job at explaining it with imagery, since primitive type variables can’t be multiple values at once it’d never return false. Hopefully that’ll clear it up for the OP.

1 Like

Ahhhhhh! Wow yes I was misunderstanding. Thanks I see what you mean…My brain sometimes…